Bài 51 trang 46 SGK Toán 7 tập 2
Đề bài
Cho hai đa thức:
P(x) = 3x2 - 5 + x4 - 3x3 - x6 - 2x2 - x3;
Q(x) = x3 + 2x5 - x4 + x2 - 2x3 + x - 1
a) Sắp xếp các hạng tử của mỗi đa thức theo lũy thừa tăng của biến.
b) Tính P(x) + Q(x) và P(x) - Q(x).
Hướng dẫn giải
- Thu gọn các đa thức đã cho rồi sắp xếp các hạng tử của mỗi đa thức theo lũy thừa tăng của biến.
- Để cộng hoặc trừ hai đa thức, ta có thể đặt phép tính theo cột dọc tương tự như cộng, trừ các số (chú ý đặt các đơn thức đồng dạng ở cùng một cột).
Lời giải chi tiết
a) Sắp xếp các hạng tử của mỗi đa thức theo lũy thừa tăng của biến.
Thu gọn: P(x) = 3x2 - 5 + x4 - 3x3 - x6 - 2x2 - x3
= (3x2- x2) - 5 + x4 + (3x3 - x3) - x6
= x2 - 5 + x4 - 4x3 - x6
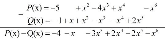
Sắp xếp: P(x) = -5 + x2 - 4x3 + x4 - x6
Thu gọn: Q(x) = x3 + 2x5 - x4 + x2 - 2x3 + x - 1
= (x3 - 2x3) + 2x5 - x4 + x2 + x - 1
= -x3 + 2x5 - x4 + x2 + x - 1
Sắp xếp: Q(x) = -1 + x + x2 - x3 - x4 + 2x5
b) Ta có:
